© 2023 Newspedia.gr.
Η ΟΛΜΕ καταγγέλλει ότι ορισμένες Διευθυντές Εκπαίδευσης και διορισμένα ΠΥΣΔΕ καταπατούν το ισχύον πλαίσιο στις τοποθετήσεις εκπαιδευτικών καταργώντας επί της...
Η κ. Υπουργός συνειδητά παραβιάζει διατάξεις του Ν.1264/82, και ειδικότερα του άρθρου 14 «Προστασία και διευκολύνσεις συνδικαλιστικής δράσης» για την...
Αναλυτικά οι ειδικότητες απασχόλησης στα Πανεπιστημιακά ΙδρύματαΜε πάνω από 100 άτομα ενισχύονται Πανεπιστημιακά Ιδρύματα όλης της χώρας. Πιο αναλυτικά σε αναζήτηση...
Ο Απόστολος Λακασάς σχολιάζει σε άρθρο του στην Καθημερινή την αριθμητική βαθμολόγηση στα εργαστήρια δεξιοτήτωνΤα εργαστήρια δεξιοτήτων εντάχθηκαν από φέτος...
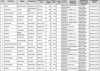
Οι διοριζόμενοι/ες οφείλουν να παρουσιαστούν στους προϊσταμένους των οικείων Διευθύνσεων Εκπαίδευσης για ορκωμοσία και ανάληψη υπηρεσίας εντός πέντε (5) εργάσιμων...
Εννέα συνολικά οι συλλήψεις για τη δολοφονία του Άλκη - Απολογείται ο 23χρονοςΈναν 21χρονο Έλληνα «φωτογραφίζουν» ως τον δολοφόνο του Άλκη,...
Τι αλλάζει στις ειδικές άδειες covid- Δεν θα χρειάζεται ιατρική γνωμάτευση για την πενθήμερη άδειαΕγκύκλιο με θέμα «Ειδικότεροι όροι και...
Πέντε κρατούμενοι απέδρασαν από το Αστυνομικό Μέγαρο ΧανίωνΑπέδρασαν πέντε κρατούμενοι από τα κρατητήρια του αστυνομικού μεγάρου Χανίων, τις πρώτες πρωινές...
Οι νέες δράσεις που φέρνουν τα προγράμματα του ΟΑΕΔΣτο πλαίσιο του Εθνικού Σχεδίου Ανάκαμψης και Ανθεκτικότητας "Ελλάδα 2.0", ο ΟΑΕΔ...
© 2023 Newspedia.gr.