Οι διοριζόμενοι/ες οφείλουν να παρουσιαστούν στους προϊσταμένους των οικείων Διευθύνσεων Εκπαίδευσης για ορκωμοσία και ανάληψη υπηρεσίας εντός πέντε (5) εργάσιμων ημερών από την ημερομηνία δημοσίευσης της παρούσας απόφασης
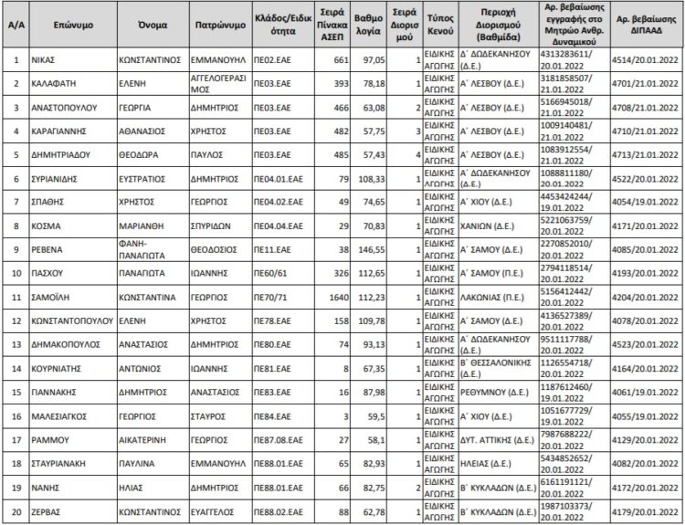
Δημοσιεύθηκε σε ΦΕΚ απόφαση του υπουργείου Παιδείας με την οποία , διορίζονται, με βάση τη σειρά κατάταξής τους στους τελικούς αξιολογικούς πίνακες Β΄ υποψήφιων εκπαιδευτικών του Α.Σ.Ε.Π. και τις υποβληθείσες αιτήσεις τους, οι κάτωθι 20 εκπαιδευτικοί, κλάδων/ειδικοτήτων ΠΕ02 ΦΙΛΟΛΟΓΟΙ, ΠΕ03 ΜΑΘΗΜΑΤΙΚΟΙ, ΠΕ04.01 ΦΥΣΙΚΟΙ, ΠΕ04.02 ΧΗΜΙΚΟΙ, ΠΕ04.04 ΒΙΟΛΟΓΟΙ, ΠΕ11 ΦΥΣΙΚΗΣ ΑΓΩΓΗΣ, ΠΕ60/ΠΕ61 ΝΗΠΙΑΓΩΓΟΙ, ΠΕ70/ΠΕ71 ΔΑΣΚΑΛΟΙ, ΠΕ78 ΚΟΙΝΩΝΙΚΩΝ ΕΠΙΣΤΗΜΩΝ, ΠΕ80 ΟΙΚΟΝΟΜΙΑΣ, ΠΕ81 ΠΟΛ.ΜΗΧΑΝΙΚΩΝ-ΑΡΧΙΤΕΚΤΟΝΩΝ, ΠΕ83 ΗΛΕΚΤΡΟΛΟΓΩΝ, ΠΕ84 ΗΛΕΚΤΡΟΝΙΚΩΝ, ΠΕ87.08 ΦΥΣΙΟΘΕΡΑΠΕΙΑΣ, ΠΕ88.01 ΓΕΩΠΟΝΟΙ και ΠΕ88.02 ΦΥΤΙΚΗΣ ΠΑΡΑΓΩΓΗΣ, σε θέσεις μονίμων, στις έναντι αυτών αναγραφόμενες περιοχές της Πρωτοβάθμιας/Δευτεροβάθμιας , με διετή δοκιμαστική θητεία, με τον εισαγωγικό βαθμό και με το εισαγωγικό για κάθε κλάδο μισθολογικό κλιμάκιο, και τίθενται στη διάθεση των οικείων Διευθύνσεων Εκπαίδευσης:
Οι διοριζόμενοι/ες οφείλουν να παρουσιαστούν στους προϊσταμένους των οικείων Διευθύνσεων Εκπαίδευσης για ορκωμοσία και ανάληψη υπηρεσίας εντός πέντε (5) εργάσιμων ημερών από την ημερομηνία δημοσίευσης της παρούσας απόφασης στην Εφημερίδα της Κυβερνήσεως. (Δημοσιεύθηκε στο ΦΕΚ 181/τ. Γ΄/4-2-2022)





